Page 253
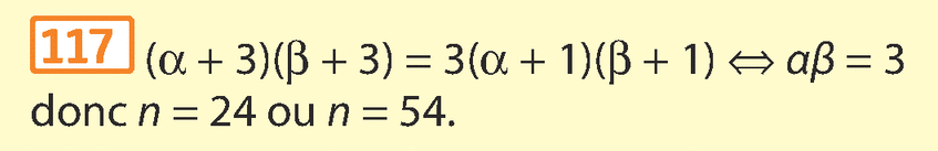
En cliquant dans l’exercice sur l’icône correspondante, vous pourrez accéder aux compléments ci-dessous.