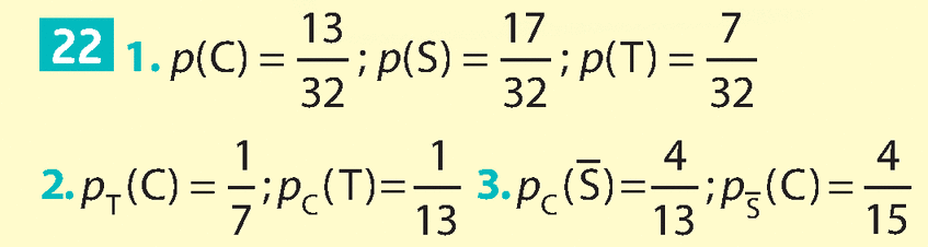
• Page 382
  • avant
  • apres

En cliquant dans l’exercice sur l’icône correspondante, vous pourrez accéder aux compléments ci-dessous.